Appearance
图
在微博中,两个人可以互相关注。在微信中,两个人可以互加好友。那如何存储微博、微信等这些社交网络的好友关系呢?
这就要用到图这种数据结构了,实际上,涉及图的算法有很多,也很复杂,比如图的搜索、最短路径、最小生成树、二分图等等。
如何理解图
图是一种非线性表数据结构,和树相比,它更加复杂。
树中的元素称为节点,图中的元素就叫作顶点(vertex),图中的一个顶点可以与任意其他顶点建立连接关系,把这种关系叫作边(edge)。

社交网络就是一种非常典型的图结构。
- 微信
以微信为例,可以把每个用户看作一个顶点。如果两个用户之间互加好友,那就在两者之间建立一条边。所以,整个微信的好友关系就可以用一张图来表示。其中,每个用户有多少个好友,对应到图中,就叫作顶点的度(degree),就是跟顶点相连接的边的条数。
- 微博
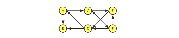
再看看微博,微博的社交关系和微信有点不一样,或者说更加复杂一点。微博可以单向关注,也就是说,用户 A 关注了用户 B,但是用户 B 可以不关注 A。那怎么用图表示这种单向的社交关系呢?
引入边的“方向”:如果 A 关注了 B,就在图中画一条从 A 到 B 的带箭头的边,来表示边的方向。如果 A 和 B 互相关注,那就画一条从 A 指向 B 的边,再画一条从 B 指向 A 的边。

把这种边有方向的图叫作有向图,相对的,把边没有方向的图叫作无向图。
在无向图中用“度”来表示一个顶点有多少条边。在有向图中,把度分为入度(In-degree)和出度(Out-degree):
- 顶点的入度:表示有多少条边指向这个顶点。
- 顶点的出度:表示有多少条边以这个顶点为起点指向其他顶点。
在微博里,入度就表示有多少粉丝,出度就表示关注了多少人。
接下来看一下 QQ。QQ 中的社交关系更复杂一点。QQ 不仅记录用户之间的好友关系,还有一个 QQ 亲密度的功能记录两个用户之间的亲密度。如果两个用户经常往来,那亲密度就比较高;如果不经常往来,亲密度就比较低。如何在图中记录这种好友关系的亲密度呢?
这就需要另一种图,带权图(weighted graph)。在带权图中,每条边都有一个权重(weight),可以通过这个权重表示 QQ 好友之间的亲密度。

这就是比较常用的图,那如何在内存中存储图这种数据结构呢?
图的存储
看一下在内存中如何存储图。
邻接矩阵存储方法
图最直观的一种存储方法就是,邻接矩阵(Adjacency Matrix)。
邻接矩阵的底层依赖一个二维数组:
- 对于无向图来说,如果顶点 i 与顶点 j 之间有边,我们就将 A[i][j] 和 A[j][i] 标记为 1;
- 对于有向图来说,如果顶点 i 到顶点 j 之间,有一条箭头从顶点 i 指向顶点 j 的边,那我们就将 A[i][j] 标记为 1。同理,如果有一条箭头从顶点 j 指向顶点 i 的边,我们就将 A[j][i] 标记为 1。
- 对于带权图,数组中就存储相应的权重。

这种方式虽然简单、直观,但是比较浪费存储空间。
对于无向图来说,A[[i][j] 和 A[j][i] 肯定是相等的,实际上只需要存储一个就够了。也就是说,无向图的二维数组中,用对角线划分为上下两个部分,只需要利用上面或者下面这样一半的空间就足够了,另外一半白白浪费了。
还有,如果存储的是稀疏图(Sparse Matrix),也就是顶点很多,但是每个顶点的边并不多,那么邻接矩阵方法就更加浪费空间了,因为只有少部分的位置存储值。
比如微信有几亿用户,对应到图就是好几亿的顶点。每个用户的好友不会太多,一般就三五百个而已,如果用邻接矩阵来存储,那绝大部分的存储空间就浪费了。
不过,邻接矩阵存储方法也有一些优点:
- 邻接矩阵的存储方式简单、直接,因为是基于数组,所以获取两个顶点的关系时,就非常的高效。
- 邻接矩阵的存储方式方便计算。因为用邻接矩阵的方式存储图,可以将很多图的运算转换成矩阵之间的运算。比如最短路径的Floyd-Warshall 算法,就是利用矩阵循环相乘若干次得到结果。
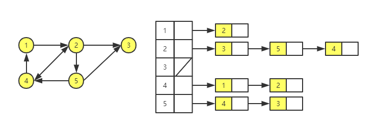
邻接表存储方法
针对邻接矩阵比较浪费内存空间的问题,看另外一种图的存储方法,邻接表(Adjacency List)。
每个顶点对应一条链表,链表中存储的是与这个顶点相连接的其他顶点。
下面画了一张邻接表的图,乍一看,邻接表有点像散列表:

说明一下,图中画的是一个有向图的邻接表存储范式,每个顶点的链表里存储的是指向的顶点。对于无向图来说,也是类似的,不过,每个顶点的链表存储的是,跟这个顶点有边相连的顶点。
这两种存储范方式是时间和空间互换设计思想。邻接矩阵存储起来比较浪费空间,但是使用起来比较节省时间。相反,邻接表存储起来比较节省空间,但是使用起来就比较耗时了。
比如,在上图中,要确定是否存在一条从顶点 2 到顶点 4 的边,就需要遍历 2 对应的那条链表,判断是否存在顶点 4。而链表的存储方式对缓存不是很友好,所以,比起邻接矩阵的存储方式,在邻接表中查询两个顶点之间的关系就没那么高效了。
在散列表中,基于链表法解决冲突的散列表,如果链过长,为了提高查找效率,可以将链表换成其他更加高效的数据结构,比如平衡二叉查找树等。
而邻接表和散列表很像,所以它可以同散列表一样进行“优化升级”。可以把链表改成平衡二叉查找数,实际开发中可以选择红黑树,这样可以快速的查找判断两个顶点之间是否存在边了。当然这里的二叉查找数还可以换成其他动态的数据结构,比如跳表、散列表。此外还可以将链表改成有序动态数组,这样就可以通过二分查找的方法快速定位两个顶点之间是否存在边。
总结
解答开篇问题
如何存储微博、微信等这些社交网络的好友关系呢?
前面分析微博、微信是两种图。在这个问题上它们思路都比较相似,以微博为例吧,先确定数据结构。
数据结构是为算法服务的,所以具体选择哪种存储方法,与期望支持的操作有关系。
- 判断用户 A 是否关注了用户 B;
- 判断用户 A 是否是用户 B 的粉丝;
- 用户 A 关注用户 B;
- 用户 A 取消关注用户 B;
- 根据用户名称的首字母排序,分页获取用户的粉丝列表;
- 根据用户名称的首字母排序,分页获取用户的关注列表。
怎么选择存储方式?
因为社交网络是一张稀疏图,使用邻接矩阵会比较浪费空间,所以使用邻接表来存储。
不过用一个邻接表还不够,去查找一个用户关注了哪些用户非常容易,但是如果想知道这个用户被哪些用户关注了,也就是用户的粉丝列表,是非常困难的。
基于此,还需要一个逆邻接表。邻接表存储用户的关注关系,逆邻接表存储用户的被关注关系。
对应到图上,邻接表中,每个顶点的链表中,存储的就是这个顶点指向的顶点,逆邻接表中,每个顶点的链表中,存储的是指向这个顶点的顶点。如果要查找某个用户关注了哪些用户,可以在邻接表中查找;如果要查找某个用户被哪些用户关注了,则从逆邻接表中查找。

基础的邻接表还存在一个问题是,不能快速判断两个用户之间的相互关注关系,所以需要改进,将链表改为支持快速查找的动态数据结构。选择哪种动态数据结构呢?红黑树、跳表、有序动态数组还是散列表呢?
需要按照用户名称的首字母排序,分页来获取用户的粉丝列表或者关注列表,用跳表这种结构再合适不过了。最重要的一点,跳表中存储的数据本来就是有序的了,分页获取粉丝列表或关注列表,就非常高效。
如果对于小规模的数据,比如社交网络中只有几万、几十万个用户,可以将整个社交关系存储在内存中,上面的解决思路是没有问题的。但是如果像微博那样有上亿的用户,数据规模太大,就无法全部存储在内存中了。这个时候该怎么办呢?
通过哈希算法等数据分片方式,将邻接表存储在不同的机器上。比如在机器 1 上存储顶点 1,2,3 的邻接表,在机器 2 上,存储顶点 4,5 的邻接表。逆邻接表的处理方式也一样。当需要查询顶点之间的关系时,先通过同样的哈希算法,定位顶点所在的机器,然后再对应的机器上查找。
除此之外,还有另外一种解决思路,就是利用外部存储(比如硬盘),因为外部存储的存储空间要比内存会宽裕很多。数据库是我们经常用来持久化存储关系数据的,所以这里介绍一种数据库的存储方式。
用下面这张表来存储这样一个图。为了高效地支持前面定义的操作,可以在表上建立多个索引,比如第一列、第二列,给这两列都建立索引。

小结
学习图这种数据结构,需要理解几个概念:无向图、有向图、带权图;顶点、边;度、入度、出度。还有图的两个主要存储方式:邻接矩阵和邻接表。