Appearance
手写链表的技巧
写好链表并不容易,需要一些方法和技巧。
1. 理解指针或引用的含义
看懂链表的结构并不是很难,但是一旦把它和指针混在一起,就容易让人摸不着头脑。不管是“指针”还是“引用”,实际上,它们的意思都是一样的,都是存储所指对象的内存地址。
对于指针的理解,需要记住:
将某个变量赋值给指针,实际上就是将这个变量的地址赋值给指针,或者反过来说,指针中存储了这个变量的内存地址,指向了这个变量,通过指针就能找到这个变量。
回到链表的代码中,来解释一下。
编写链表的代码,经常有 p->next=q,这行代码是说,p 结点中的 next 指针存储了 q 结点的内存地址。
还有一个更复杂的,也写链表代码经常会用到的:p->next=p->next->next。这行代码表示,p 结点的 next 指针存储了 p 结点的下下一个结点的内存地址。
2. 警惕指针丢失和内存泄漏
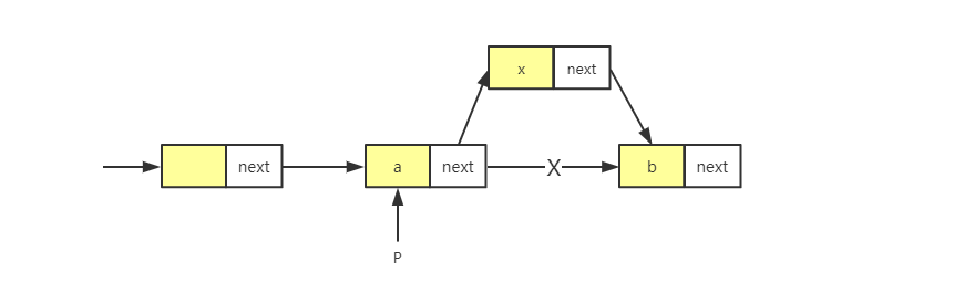
写链表代码的时候,一定注意不要弄丢了指针。看个例子:

如图,想在相邻的 a 和 b 节点之间插入 x,假设当前指针 p 指向结点 a。那么一不小心,就会写成下面的样子。如果把代码实现成下面这样,就会发生指针丢失和内存泄露。
p->next = x;
x->next = p->next
第一步之后,p->next 已经不再指向 b 节点,而是指向 x。第 2 行代码相当于将 x 赋值给 x->next,自己指向自己。此时,整个链表就断成两半了,从节点 b 往后的节点都无法访问到了。
所以,我们插入结点时,一定要注意操作的顺序,要先将结点 x 的 next 指针指向结点 b,再把结点 a 的 next 指针指向结点 x,这样才不会丢失指针,导致内存泄漏。对于刚才的代码,需要把顺序颠倒一下就可以了:
x->next = p->next
p->next = x;
3. 重点留意边界条件处理
一定要在编写的过程中以及编写完成之后,检查边界条件是否考虑全面,以及代码在边界条件下是否能正确运行。
经常用来检查链表代码是否正确的边界条件有这样几个:
- 如果链表为空时,代码是否能正常工作?
- 如果链表只包含一个结点时,代码是否能正常工作?
- 如果链表只包含两个结点时,代码是否能正常工作?
- 代码逻辑在处理头结点和尾结点的时候,是否能正常工作?
写完链表代码后,出来看写的代码在正常情况下能否工作,还要看在上面列举的几个边界条件下,代码能够仍然正常工作。如果在这些边界条件下都没问题,那基本上就没有问题了。
当然,边界条件不止这些,还有针对自己的场景的特定边界。
实际上,不光是写链表代码,写任何代码,千万不要只是实现业务正常情况下的功能。一定要多想想,你写的代码在运行的时候,可能后遇到哪些边界或者异常情况,遇到了应该怎么处理,这样写出来的代码才够健壮。
4. 举例画图,辅助思考
对于稍微复杂的链表操作,比如单链表反转,指针一会指着,一会指那,自己一会就被绕晕了。这个时候就需要举例法和画图法了。
你可以找一个具体的例子,把它画在纸上,这样就会感觉到思路清晰很多。比如往单链表中插入一个数据这样一个操作,可以把各种情况都举一个例子,画出插入前和插入后的链表变化,如图所示:

看图写代码,那就简单很多了!
而且,写完代码之后,也可以举几个例子,画在纸上,照着代码走一遍,很容易发现 bug。
5. 多些多练,没有捷径
多写多练,出问题就一点一点调试,熟能生巧。
不要害怕写链表,以下是 5 个常见的链表操作,把它们都写熟练:
- 单链表反转;
- 链表中环的检测;
- 两个有序的链表合并;
- 删除链表倒数第 n 个结点;
- 求链表的中间结点。